State the processes that happen in spermatogenesis. The students to get out their Family Activity Sheets m.
Learn how your body changes during puberty how the human reproductive.
Reproductive system lesson plan. Independent Activity -You Do Do the exercises under Get Moving on p. 56 of LM Math Grade 4 E. Summarizing the Lesson Lead the pupils to give the generalization by asking.
How do you divide 3 to 4 digit numbers by 10 100 or by 1000 without remainder. EvaluationFind the quotient of the following. 3 60001000 2 700100 3 80010 4 7600100 5 90010 G.
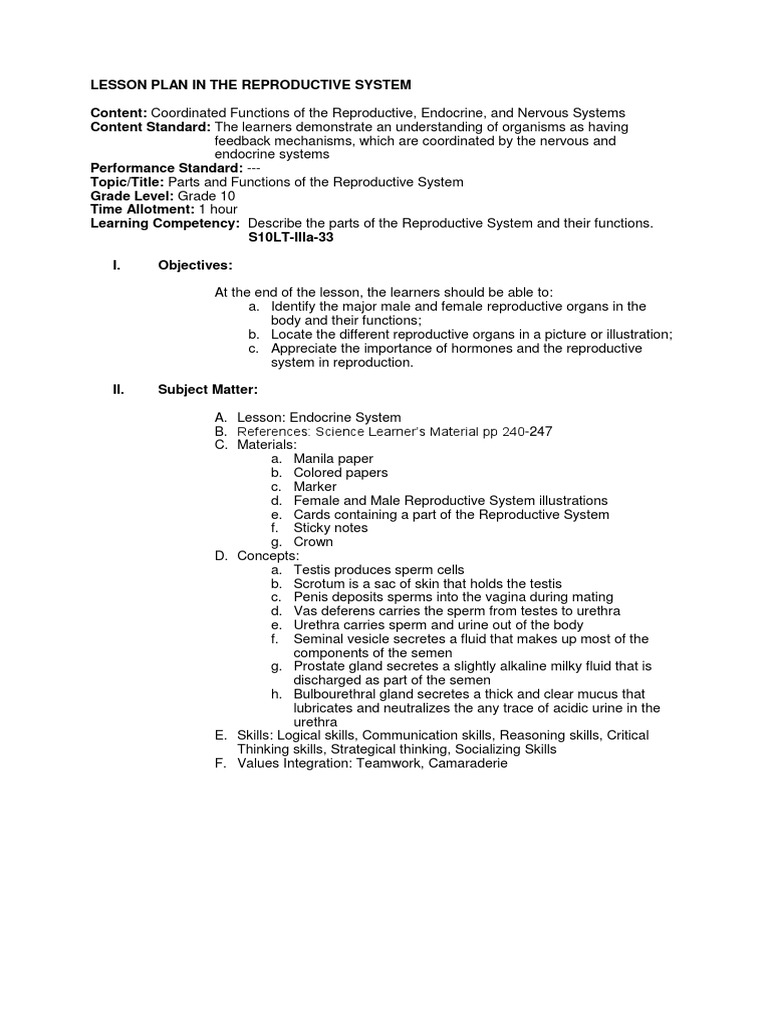
Home ActivityKathleen helped her. Begin the lesson by informing learners that Today we are going to learn about the human reproductive system. The male and female reproductive systems are composed of external and internal organs.
Ask students what function the reproductive system has in. For Teachers 9th - 12th Standards. Its every health and science teachers favorite subject to cover.
This comprehensive lesson introduces adolescents to the reproductive anatomy of men and women with the help of a series of diagrams discussions. Content Students will state the function of the human reproductive system. Students will identify parts of the male and female reproductive system.
Students will describe the function of each part of the male and female reproductive system. Students will define ejaculation. Students will define menstruation.
Students will describe the typical menstrual cycle. Students will define fertilization. Students will identify common problems related to the male and female reproductive systems.
The Male Reproductive System Science This lesson plan includes the objectives prerequisites and exclusions of the lesson teaching students how to describe the main structures of the male reproductive system and explain how they are adapted to carry out their functions. Reproductive System Lesson Plan Teaching about the reproductive system need not be a daunting process. With this lesson plan youll find two informative video lessons that describe the male and.
The Reproductive System Lesson Plan. This lesson contains affiliate links to products I have used and personally recommend. At no cost to you I make a commission for purchases made through the links or advertisements.
These commissions help to pay for the costs of the site and enable it to remain free for anyone who wants to use it. Students complete worksheets about the reproductive system to define terms explain the menstrual cycle and more. In this reproduction lesson plan students are provided with worksheets.
In this animated movie Tim and Moby explain the reproductive systems of men and women. Learn how your body changes during puberty how the human reproductive. The purpose of this lesson is to describe male and female sexual and reproductive systems in-cluding body parts and their functions.
By the end of 8th grade Students will be able to Describe the male and female sexual and reproductive systems including body parts and their functions. Students will learn about the scientific human reproduction process in this lesson plan. They will read a lesson participate in discussion questions complete an activity and take a quiz.
Join me as I discuss the feedback loops in the female reproductive system with a focus on the Uterine system. Lesson 2 Page 1 Reproductive System Grades 9-12 Lesson 2 Student Learning Objectives The student will be able to. Locate and name at least 80 of the parts of the male and female reproductive systems.
Describe the path of an egg ovum during menstruation. Describe the path of a sperm during ejaculation. Understand there is a wide range of normal anatomy.
Reproductive Health RH lessons. It is based on based on certain assumptions such as. Young people are familiar with life skills lessons and have been taught them prior to the RH lessons.
Leaders feel comfortable to deliver messages on reproductive health to youth. The RH lessons are part of a life skills education program. 4-H Animal Science Lesson Plan Reproduction Level 2 Parts of Reproductive Systems Meranda Small Extension Educator Goal learning objective Youth will learn what the major female and male reproductive structures are and functions in beef sheep swine and goat.
Supplies Copies of Handout 1 Beef Reproductive Systems make enough copies for group Copies of Handout 2 Sheep. Male female reproductive system. Report this resourceto let us know if it violates our terms and conditions.
Our customer service team will review your report and will be in touch. Lesson Plan on the Male Reproductive System 1. MALE REPRODUCTIVE SYSTEM Eileen Aycardo Page62 IOBJECTIVES At the end of the period the students must be able to.
Identify the parts of the male reproductive system and their corresponding functions. State the processes that happen in spermatogenesis. Identify the primary regions of the sperm and its characteristics.
The Female reproductive system 1. Female Reproductive System 2. -Identify the female reproductive system and their major parts.
-Explain the functions of each parts. -Relate the structure of the female reproductive system to its function in reproduction. Discuss the students experiences talking with.
Their parents about growing up and introduce. The students to get out their Family Activity Sheets m. What did you learn from your parents about what they remember about growing up.
How did it feel.